1 流域营养盐负荷变化特征
1.1 时空变化特征
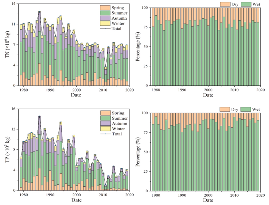
入湖TN、TP均自1999年开始减少,至2015年后趋于稳定 (图 2);从空间上看 (图 3),1991年前滇池流域北部及滇池北岸与东北岸产出TN与TP最多;1991-2010年流域整体产出量降低,空间分布变化较少;2010年后流域营养盐产出量持续降低,但TN产出量最大的区域向滇池东北岸转移,滇池南岸TP产出量占比增加。
图 2 季节尺度 (左)和干湿季尺度 (右)入湖TN (上)和TP (下)负荷的年变化。
图 3 三段时期估算TN (上)和TP (下)负荷的空间分布。
1.2 土地利用变化与人类活动影响
TN和TP与植被非线性负相关,与耕地呈现非线性正相关关系,与城市面积呈负相关 (图 4)。

图 4 营养盐负荷变化与不同土地利用类型面积占比变化的GAM分析结果。
农作物生产及其他污染是入湖营养盐负荷的主要贡献者 (图 5),对TN的贡献占比随时间逐渐下降,而对TP的贡献占比则保持稳定。 2011年之前,牲畜粪便是第二大贡献者,政府下令关闭所有大型畜牧场之后,其贡献急剧下降。由于2007年至2015年建设了多个污水处理厂,污水处理厂尾水排放的贡献自2007年以来有所增加。农村生活污水贡献最小,并且随着农村人口减少而持续下降。
图 5 1979-2019年TN和TP负荷人类活动贡献溯源。
2 TSI时空分布
滇池TSI在2005-2019年整体低于前24年,年平均TSI在1997年达到峰值,并在2016年达到最低点。外海北部地区的TSI始终高于湖区其他区域,南部地区大多数年份高于湖泊中部区域,1992年以前全湖TSI保持相对均匀,之后滇池东部和东南部TSI值逐渐上升,2002-2004年富营养化最严重,2004年以后全湖TSI开始下降,但大部分年份湖区北部和东北部TSI持续较高,近岸地区TSI持续升高 (图 6)。
3 入湖营养盐负荷对湖泊TSI的影响
图 7表明,TSI与TN和LTN呈不显著正相关,与TP和LTP呈显著正相关,与NPr和 LNPr呈显著负相关。与N相比,TSI对P变化的响应更明显,表明滇池浮游植物的生长主要受到P的限制,即P可能是湖泊营养状况的关键决定因素。此外,TN与LTN不存在显著相关性,而TP与LTP呈极显著正相关,表明LTP对TP的变化高度敏感,减少TP可以有效降低LTP,从而降低滇池TSI。
图 7 TSI与各种营养盐的相关性分析。 TN:入湖总氮负荷; TP入湖总磷负荷; NPr:TN与TP的比值; LTN:湖中总氮浓度; LTP:湖中总磷浓度; LNPr:LTN 与 LTP 的比值。显着性水平:*p < 0.05; **p < 0.01; ***p < 0.001。
4 基于关键源区 (CSAs) 的 BMP 确定
同时实施三个MP是营养盐负荷减少的最有效策略,但是CFS40和LC200组合削减的TP几乎与其相同 (图 8),综合对比确定CFS40和LC200的组合为最佳管理措施 (BMP)。

图 8 在CSA实施不同管理措施 (MP) (上)与MP组合 (下)后的入湖营养盐负荷。MP前的“C”代表仅在CSA实施。None= 没有措施; CFS40 = CSA面积与过滤带面积之比为 40:1; CFS20 = CSA面积与过滤带面积之比为 20:1; CFR40 = CSA 施用肥料减少 40%; CFR20 = CSA施用肥料减少 20%; LC200=湖边200m内退耕还林; LC400=湖边400m内退耕还林。
5 BMP对主要源区营养盐削减的影响
图 9表明全流域CSAs应用BMP后,北部区产出的营养盐负荷比例不降反升,而如果仅在北部地区的CSAs实施BMP,北部地区产出的营养盐负荷将与流域其他地区几乎相等,虽然这可以改变湖泊富营养化的空间分布,缓解北部湖区相对于其他湖区的生态压力,但是由于CSAs分布于整个流域,BMP不能只应用于北部地区,因此针对该区域还需进一步采取水质治理措施,以更有效地改善水质。
图 9 流入富营养化最严重部分湖泊的河流所在子流域及其削减前后的营养盐负荷占全流域营养盐负荷的比例(a)。应用BMP削减TN (b)和TP (c)前后的营养盐负荷。
6 定性分析的意义
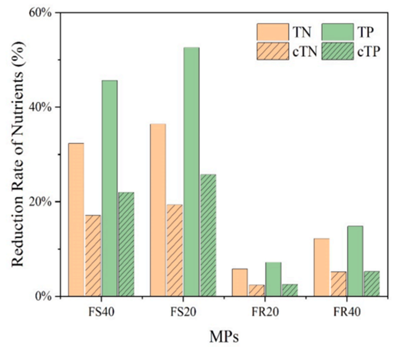
定性分析简化对流域营养盐如何影响湖泊富营养化的理解,有助于识别主要的陆源驱动因素并支持更有效的决策。在本研究中,定性分析将P确定为关键因素,CSAs也是根据较高的P权重来确定的,表 2表明在CSAs实施MP更具性价比 (每种MP实现的每平方米营养盐负荷减少量);图 10表明当在仅占流域总面积26%的CSAs实施MP时,营养盐削减率接近在全流域实施MP效果的50%。二者均进一步证明了定性分析的重要性。
表 2 不同区域实施MP的性价比。
图 10 在不同区域实施不同MP的营养盐削减率。cTN = 仅在CSA实施MP时TN的减少率; cTP =仅在CSA实施MP时TP的减少率。