
一项发表于Nature Communications的研究,基于全球超过120万条河流的营养盐监测数据,揭示了人类活动对河流中氮、磷浓度的显著影响,并评估了由此引发的藻类过度生长风险。研究指出,全球多地河流水质已偏离自然本底状态,呼吁制定更切实际的水质管理目标。
人类活动显著提升河流氮磷浓度:全球河流总氮和总磷含量因人类活动分别平均增加了35%和14%,其中欧洲增幅最大(氮86%、磷30%),大洋洲最小(氮9%、磷2%)。
藻类过度生长风险范围扩大:受人类活动影响,可能发生有害或滋扰性藻类生长的流域面积几乎翻倍,波及全球约40%人口所在的区域。
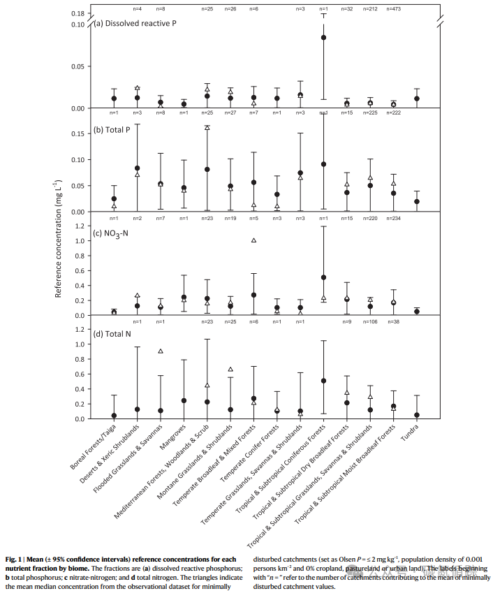
参考条件有助于制定合理水质目标:通过比较当前水质与无人为干扰的“参考条件”,可更科学地设定管理目标,避免在天然高营养盐区域设定不切实际的净化标准。
该研究在全球尺度上量化了人类活动对河流氮磷浓度的具体影响,并提出了以“参考条件”为基础的水质管理思路,为区域差异化治理与生态保护提供了科学依据。(参考条件是指不受人类活动影响的条件,用于衡量河流污染程度并确定最佳可达水质)
碳氮循踪
聚焦碳氮循环核心过程,运用前沿方法(如同位素示踪)解析其路径、通量与互作。揭示元素循系统、气候变化的关键驱动,传递领域前沿动态与深度科学解读。
本文遵循微信公众平台各项保护原创的措施。推文可能未提前与原作者取得联系,如果涉及版权问题,请原作者留言联系我们。经核实后,我们会及时删除或者注明原作者及出处。本文所述观点和内容,系小编基于现有资料进行的思考与梳理,纯属个人浅见。学识所限,难免存在疏漏或不足之处。真诚欢迎广大读者朋友提出宝贵意见和建议,共同探讨,以期更准确地把握问题本质。本公众号原创文章,欢迎转载,转载时请注明出处。